Skip to main content
Step 1
Step 2
Choose Language
Please select a language
English Waiver
German Waiver
French Waiver
Spanish Waiver
Italian Waiver
Czech Waiver
Danish Waiver
Dutch Waiver
Norwegian Waiver
Swedish Waiver
Japanese Waiver
Korean Waiver
Portuguese Waiver
Russian Waiver
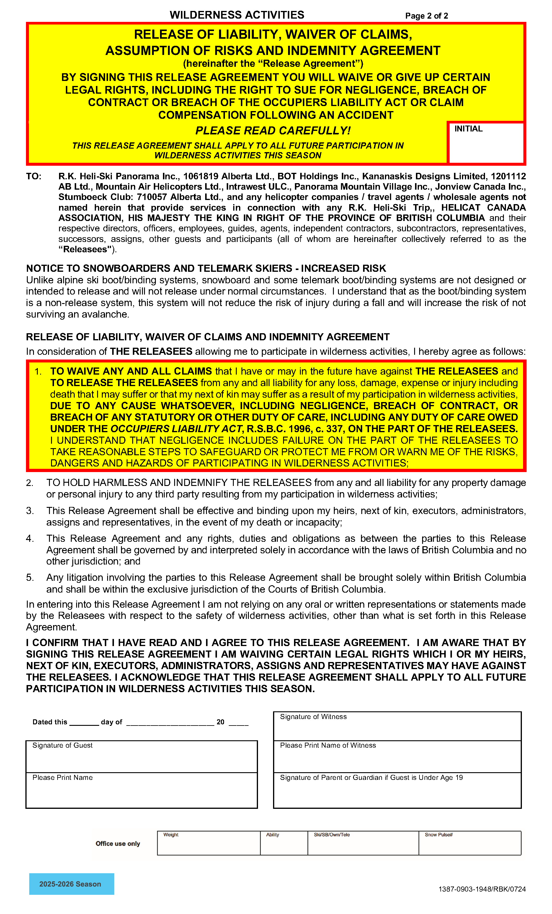
Please read the Wilderness Waiver Activity form. When you have finished reading it please check the box at the bottom and move onto step 2.
Do NOT print or fill out and return the waiver
Click on the waiver to enlarge
Download English Waiver
Download German Waiver
Download French Waiver
Download Spanish Waiver
Download Italian Waiver
Download Czech Waiver
Download Danish Waiver
Download Dutch Waiver
Download Norwegian Waiver
Download Swedish Waiver
Download Japanese Waiver
Download Korean Waiver
Download Portuguese Waiver
Download Russian Waiver
I have read and agree to the Wilderness Activity Waiver
Vertical Tabs